1. Uvod
Na podlagi razkritih pogodb in amandmajev, ki jih je v imenu Republike Slovenije podpisala vlada z družbo Pfizer/BioNTech, razkrivamo resnico, ki je bila slovenski javnosti sistematično prikrita. Ministri za zdravje Janez Poklukar in Danijel Bešič Loredan so podpisovali pogodbe, ki so Slovenijo in njene državljane spravile v izredno neenakopraven in škodljiv položaj.
Obenem izpostavljamo zločinsko ravnanje javnega medija RTV Slovenija, ki je kljub temu, da je bila 3. septembra 2021 uradno seznanjena s pogodbo in njenimi določili, v sredi največje procepilne kampanje zamolčala resnico. Namesto da bi državljane obvestila, da so cepiva po pogodbi lahko nevarna in z neznanimi dolgoročnimi posledicami, je RTV Slovenija sodelovala pri propagandi in zavajanju.
To dejanje predstavlja zločin zoper človečnost, saj je neposredno prispevalo k množičnemu cepljenju brez informiranega soglasja.
2. Ključne ugotovitve iz pogodb
a) Neznana učinkovitost in varnost
V pogodbah je zapisano, da:
dolgoročna učinkovitost cepiv ni znana,
dolgoročni stranski učinki niso znani,
cepiva bodo še naprej predmet študij po dobavi.
Kljub temu so oblast, stroka in mediji trdili, da so cepiva varna in učinkovita.
b) Razbremenitev proizvajalca odgovornosti
Pfizer in BioNTech sta bila popolnoma oproščena odgovornosti za posledice cepljenja. Vse breme odškodnin in tveganj je prevzela država – torej slovenski davkoplačevalci.
c) Obvezni nakupi in plačila vnaprej
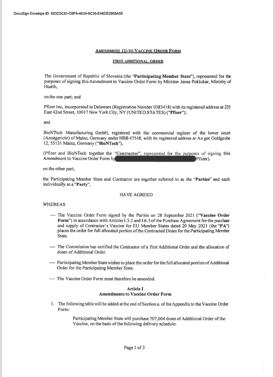
Slovenija je naročila 4.242.025 odmerkov + še dodatnih 707.004 odmerkov.
Plačilo je bilo izvedeno 100 % vnaprej, brez možnosti vračila.
Če država ni potrdila naročila, je izgubila denar, Pfizer pa ni imel nobene obveznosti dostave.
d) Slovenski prevzemniki
Cepiva so bila razdeljena:
50 % Salus d.o.o. (zasebno podjetje),
25 % UKC Ljubljana,
25 % NIJZ.
S tem se odpira vprašanje o vlogi zasebnega podjetja pri poslu, vrednem več sto milijonov evrov.
e) Pravna podrejenost tujim arbitražam
Vsi spori iz pogodb se rešujejo v skladu z evropsko arbitražo, kar pomeni, da Slovenija nima pravice reševati sporov pred lastnimi sodišči.
3. Finančna in posredna škoda
a) Neposredna finančna škoda
Cena cepiva Pfizer se je gibala med 15 in 20 evri na odmerek.
Ob nakupu več kot 4,9 milijona odmerkov je Slovenija za cepiva plačala okoli 80–100 milijonov evrov javnega denarja.
Velik del teh odmerkov je bil neporabljen in končal med odpadki.
b) Posredna škoda – zdravje in življenja
Slovenija beleži povečano smrtnost v letih po začetku množičnega cepljenja.
Tisoči ljudi so utrpeli poškodbe zdravja, vključno s srčnimi zapleti, nevrološkimi težavami in invalidnostjo.
Ljudje niso bili seznanjeni z dejstvom, da cepiva še vedno sodijo v eksperimentalno fazo.
S tem je bilo kršeno načelo informiranega soglasja, zapisano v Nürnberškem kodeksu in Helsinški deklaraciji.
4. Zločin RTV Slovenija
RTV Slovenija je 3. septembra 2021 prejela kopijo pogodbe s Pfizerjem, v kateri je jasno zapisano, da cepiva niso dokončno testirana, njihova dolgoročna učinkovitost ni znana, in da obstajajo neznani stranski učinki.
Kljub temu ni obvestila javnosti, temveč je nadaljevala z enostransko propagando za množično cepljenje.
Zadnja sodba sodišča oz. sodba sodnika Jurija Švajcerja potrjuje, da so bili ljudje zavedeni in da je RTV SLO prikrila življenjsko pomembne informacije. RTV Slovenija pa je s prikrivanjem dokumentov in sodelovanjem pri propagandi soudeležena pri dejanju, ki ga je mogoče označiti kot zločin proti človečnosti in genocid, saj je neposredno prispevala k temu, da se je preko milijon naših ljudi cepilo brez, da bi se zavedali resničnih nevarnostih za svoje zdravje.
5. Sklep in poziv
Te pogodbe in amandmaji dokazujejo:
da je bila javnost zavedena,
da je država nase prevzela vso odgovornost in finančno breme,
da so politiki in mediji zavestno lagali,
da je bil povzročena ogromna finančna in zdravstvena škoda,
da je RTV Slovenija kot javni medij sodelovala pri zatajitvi resnice.
Zahtevamo:
1. Parlamentarno preiskavo o podpisanih pogodbah in vlogi odgovornih ministrov.
2. Kazenski pregon odgovornih politikov, uradnikov in vodstva RTV Slovenija.
3. Poravnava škode, kolikor je to sploh mogoče prizadetim posameznikom in družinam.
4. Objavo vseh pogodb in aneksov v celoti, brez cenzure in sodbe Okrajnega sodišča v Ljubljani iz 25. avgusta 2025, ZSV 440/2023
5. Sprejetje zakonodaje, ki bo preprečila, da bi se država še kdaj odrekla pravnemu varstvu in odgovornost prenesla z multinacionalk na državljane.
Resnica je razkrita. Pogodbe, zdaj tudi s podpisi odgovornih oseb dokazujejo, da je šlo za največjo prevaro in zločin proti slovenskemu narodu v sodobni zgodovini.
Ekipa OPS
P.s. v nadaljevanju pogodbe in aneksi, kopije soglašajo z izvirniki.
Delite poljubno po vseh kanalih z ostalimi.























